FRIEBE, E. (1983): Gibt es einen experimentellen Beweis für die sogenannte Geschwindigkeitsabhängigkeit der Masse?,
DPG-Didaktik-Tagungsband 1983,
S. 735 - 741. Hrsg.: Scharmann, Hofstaetter und Kuhn, Justus-Liebig-Universität, Gießen
a) Ablenkung geladener Teilchen im Magnetfeld
Legt man zwischen der Anode und der geheizten Kathode einer Hochvakuum-Röhre eine hohe Gleichspannung an, so emittiert die Kathode Elektronen, die sich in Richtung auf die Anode hin beschleunigen. Besitzt die Anode eine mittige Öffnung, so tritt ein Teil dieser Elektronen durch die Öffnung aus und setzt dort ihren Weg im wesentlichen linear gleichförmig, d. h. unbeschleunigt fort. Man kann diese Elektronen auf einem Leuchtschirm sichtbar machen, wie wir es von Fernseh-Empfängern her kennen. Man spricht von Kathodenstrahlen. Zwischen Kathode und Anode herrscht - aufgrund der angelegten Gleichspannung - eine elektrische Feldstärke, welche die Ursache der Elektronen-Beschleunigung ist. Der Raum hinter der Anode ist zunächst im wesentlichen feldfrei. Bringt man diesen Raum nun in ein magnetisches Feld, indem man z. B. die Pole eines Elektromagneten nähert, so werden die Kathodenstrahlen abgelenkt (BILD 1), so daß sie innerhalb des Magnetfeldes im wesentlichen eine Kreisbahn beschreiben. Der Radius dieser Kreisbahn ist abhängig von der Stärke des Magnetfeldes und von der Geschwindigkeit der Elektronen im Augenblick des Austritts aus der Anoden-Öffnung.
Die diesbezüglichen Experimente von KAUFMANN (1902) und BUCHERER (1908, 1909) sowie spätere hochgenaue Wiederholungen zeigen nun, daß der Verlauf geladener Teilchen nicht genau auf einer Kreisbahn liegt. Diese Erscheinung läßt mehrere Deutungen zu (WALTER RITZ 1908). Man entschloß sich zur Deutung einer Geschwindigkeitsabhängigkeit der Masse, da eine solche bereits aus der Äther-Theorie vorausgesagt worden war, obwohl letztere selbst in den Folgejahren verworfen wurde.
Wo liegt nun der Irrtum in der Interpretation der Versuche?
Der Feldraum hinter der Anode der Kathodenstrahl-Röhre ist zwar zunächst frei von einem elektro-statischen Feld. Sobald jedoch das erste Elektron die Öffnung der Anode passiert hat, herrscht auch hier ein elektro-statisches Feld, das vom Eigenfeld des Elektrons selbst herrührt. Schon BORN (1955) und THEIMER (1977) haben darauf hingewiesen, daß dieses Eigenfeld des Elektrons in unzulässiger Weise vernachlässigt wurde. Infolge seines Eigenfeldes nämlich erfährt das Elektron eine Kraft in Richtung auf die Anode (Anziehung ungleichnamiger elektrischer Ladungen), die zur Abbremsung (Verzögerung) des Elektrons führt. Solange das zusätzliche magnetische Feld noch fehlt, wird das Elektron nicht vollkommen linear gleichförmig weiterlaufen, sondern sich stetig - wenn auch nur geringfügig - verlangsamen. Schaltet man nun das zusätzliche magnetische Feld ein, so wird die Elektronenbahn keine Kreisform besitzen, wie es der theoretische Ansatz an sich ergeben würde, sondern in Richtung auf die Anode hin zusammengedrückt erscheinen.
Diese Verformung wird verstärkt, wenn die Anodenspannung entsprechend erhöht wird. Da mit der Erhöhung der Anodenspannung auch die Anfangsgeschwindigkeit der Elektronen am Ort der Anoden-Öffnung vergrößert wird, hatte man irrtümlich geschlossen, daß der beobachtete Effekt geschwindigkeitsabhängig sei. Da andererseits das Eigenfeld des Elektrons in den verwendeten Formeln der damaligen Elektrodynamik fehlte, folgerte man eine Geschwindigkeitsabhängigkeit der Masse. Berücksichtigt man jedoch das Eigenfeld, so erhält man eine vollkommen zwanglose Erklärung der Bahn der Elektronen - und auch anderer geladener Elementarteilchen - aufgrund rein klassischer Vorstellungen.
Allerdings bedarf - zur Berücksichtigung des Eigenfeldes des Elektrons - die Formel für die sogenannte LORENTZ-KRAFT (eine Formel, die bei Fachleuten der Elektrotechnik nahezu unbekannt ist) einer kritischen Überprüfung.
b) Grenzgeschwindigkeit bei Teilchenbeschleunigern
Bei Teilchenbeschleunigern beobachtet man, daß die Teilchen trotz größtmöglicher Energiebereitstellung nicht schneller als die Lichtgeschwindigkeit c relativ zum auf der Erdoberfläche ruhenden, als Quelle wirkenden Beschleuniger werden können.
Betrachten wir den physikalischen Sachverhalt etwas näher. Die zu beschleunigenden Teilchen, das sind Elektronen oder andere geladene Elementarteilchen, werden durch ein elektro-statisches Feld beeinflußt und werden dadurch aus der Ruhelage (relativ zum Beschleuniger) in einen Bewegungszustand versetzt. Dieser Methode sind allerdings Grenzen gesetzt, da die erregenden elektrischen Spannungen und die zu überbrückenden Entfernungen nicht beliebig groß gemacht werden können. Deshalb wird er Beschleunigungsvorgang in einzelne Teilabschnitte zerlegt. Es werden sogenannte Driftröhren in einer linearen räumlichen Anordnung hintereinander geschaltet (Linear-Beschleuniger BILD 2), so daß jeweils zwischen zwei Driftröhren eine Geschwindigkeits-Erhöhung gegenüber dem Vorabschnitt erreicht wird.
Das wesentliche ist nun, daß die jeweils folgende Driftröhre in ihrer Längenabmessung variiert und mit einer elektrischen Spannung beaufschlagt wird, die in ihrem Zeit-Rhythmus so liegt, daß das Elementarteilchen im beschleunigenden Sinne beeinflußt wird. Die einzelnen Driftröhren müssen also mit einer elektrischen Wechselspannung beaufschlagt werden, die mit dem Bewegungsvorgang des Teilchens so synchronisiert ist, daß eine sukzessive Beschleunigung erreicht wird. Die erforderlichen Wechselspannungs-Frequenzen sind sehr groß und werden von einem Hochfrequenz-Generator, d. h. einer elektronisch arbeitenden Verstärker-Anordnung, geliefert. Die Zuführung der Hochfrequenz-Energie erfolgt nun über elektrische Doppel-Leitungen vom Generator zu den einzelnen, räumlich auseinander liegenden Driftröhren. Die Ausbreitung der Energie längs der speisenden Doppel-Leitung erfolgt mit einer endlichen Geschwindigkeit, die bei den auftretenden hohen Frequenzen keinesfalls vernachlässigt werden darf. Diese endliche Geschwindigkeit ist bei im Vakuum verlegter Doppel-Leitung (optimaler theoretischer Fall) gleich der Vakuum-Lichtgeschwindigkeit c . Es treten deshalb längs der Doppel-Leitung Wanderwellen auf, die durch die Lichtgeschwindigkeit bestimmt sind. Ein zu beschleunigendes Teilchen kann daher im Grenzfalls höchstens die Geschwindigkeit der Wanderwelle erreichen, diese aber niemals überschreiten. Die Wanderwelle ihrerseits ist fest mit der erregenden Doppel-Leitung verknüpft, d. h. ihre Fortpflanzungsgeschwindigkeit gilt relativ zu der (ruhend gedachten) Doppel-Leitung. Auf diesen Sachverhalt hat bereits PREIKSCHAT (1976), ein Experte auf dem Gebiet des Doppler-Radar, zutreffend hingewiesen.
Die Elementarteilchen erhalten demnach nicht die ungeheuren Energiemengen, von denen mitunter gesprochen wird, sondern folgen der einfachen Abhängigkeit, die PREIKSCHAT in seiner Arbeit dargestellt hat. Entsprechendes gilt - bei Berücksichtigung des Eigenfeldes des Elektrons - auch für Ringbeschleuniger.
c) Massedefekt bei radioaktiven Teilchen
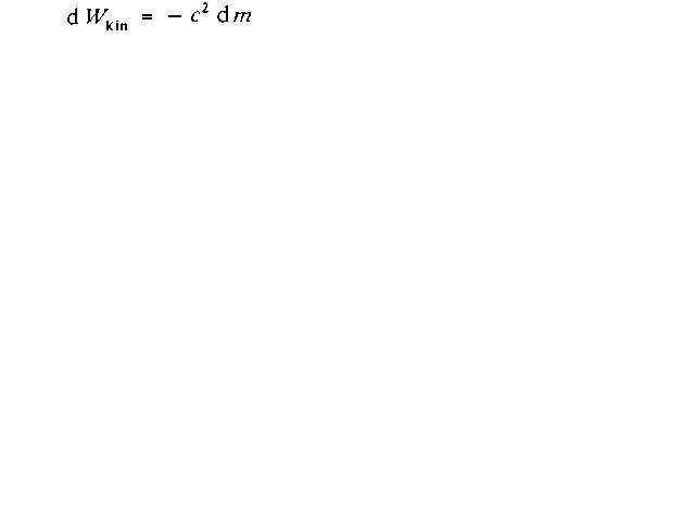
In einer Untersuchung von BRAUNBEK (1937) wurde eine Vermutung von EINSTEIN (1905) mit hoher Genauigkeit experimentell bestätigt. Diese Vermutung besagte (Zitat): Gibt ein Körper die Energie L in Form von Strahlung ab, so verkleinert sich seine Masse um L/V². . . . . Es ist nicht ausgeschlossen, daß bei Körpern, deren Energieinhalt in hohem Maße veränderlich ist (z.B. bei den Radiumsalzen), eine Prüfung der Theorie gelingen wird. (Zitatende). Hierin bedeutet V die Vakuum-Lichtgeschwindigkeit.
In modernen Physikbüchern (z.B. FLEISCHMANN 1980) wird aus diesem Befund die sogenannte Geschwindigkeitsabhängigkeit der Masse abgeleitet, wobei c = Vakuum-Lichtgeschwindigkeit und W = Energie bedeutet (Zitat aus FLEISCHMANN 1980, Abschnitt 6.1.6., Seite 500):
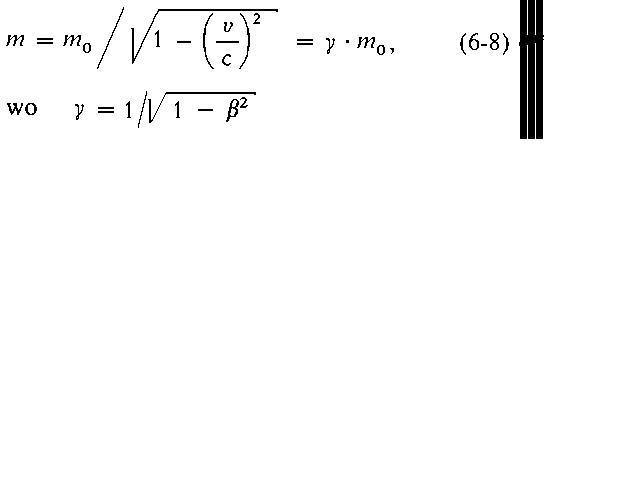
Der Zusammenhang zwischen Masse und Geschwindigkeit (Spalte 7 der Tab. 42) läßt sich durch die Formel wiedergeben:
Dieser Ausdruck enthält den bekannten Lorentz-Faktor: Hierin stellt mo die Ruhemasse des Teilchens und m seine geschwindigkeitsabhängige Masse dar, die demgemäß mit der Teilchengeschwindigkeit v ansteigt bis zur Grenzgeschwindigkeit c. Bei v größer als c wird der Wurzelausdruck imaginär. Obwohl diese Rechnung mathematisch einwandfrei durchgeführt wurde, ist sie dennoch physikalisch falsch. Der Irrtum liegt gleich am Anfang in Form eines Vorzeichen-Fehlers. Die Gleichung oben (nach dem Wort Wegen ) muß richtig heißen

Literatur:
BARTH, G. (1962): Rationale Physik, Verlag: Wissen im Werden, Zwingendorf (Österreich)
BORN, M. (1955), Berner Internat. Konferenz: 50 Jahre Relativitätstheorie Juli 1955. Bericht in Helv. Phys. Acta Suppl. IV, Basel 1956, (Hrsg. A. Mercier, M. Kervaire), insb. S. 250 - 251
BRANDENBERGER, H. (1962): Neue Erkenntnisse in Physik und Astronomie, Schweizer Maschinenmarkt, Goldach, Schweiz, Hefte 15 bis 23 und 31
BRAUNBEK, W. (1937): Die empirische Genauigkeit des Masse-Energie-Verhältnisses, Zeitschr. f. Phys., Bd. 107, S. 1 - 11
BUCHERER, A. (1908): Phys. Zeitschr. Bd. 9, S. 755 ff
BUCHERER, A. (1909): Ann. d. Phys. Bd. 28, S. 513 ff
EHRENBERG, W. (1981): Unkonventionelle physikalische Theorien, Erfahrungswissenschaftliche Blätter (EWB), Heft 4, Verlag Psychophysikalische Ges. e. V., München
EINSTEIN, A. (1905): Ist die Trägheit eines Körpers von seinem Energieinhalt abhängig?, Ann. d. Phys. Bd. 18, S. 639 - 641
FLEISCHMANN, R. (1980): Einführung in die Physik, 2. Auflg., Physik Verlag, Weinheim
FRIEBE, E. (1980): Die MAXWELL-schen Gleichungen in neuer, besonders einfacher mathematischer Form, München
FRIEBE, E. (1982): Elektrodynamik und Maxwellsche Gleichungen im Einklang mit dem Relativitätsprinzip von Galilei, DPG-Didaktik-Tagungsband 1982, S. 665 - 670. Hrsg.: Scharmann, Hofstaetter und Kuhn, Justus-Liebig-Universität, Gießen
FRIEBE, E. (1982): HERTZ-sche Wellen, Zeitschrift Wissen im Werden 1982, H. 2, S. 81-86
GUT, B. J. (1981): Immanent-logische Kritik der Relativitätstheorie, CH 6317 Oberwil b. Zug, Kugler
JAMMER, M. (1964): Der Begriff der Masse in der Physik, Wissenschaftl. Buchgesellschaft, Darmstadt
KAMMERER, E. (1961): Die Beurteilung der Lichtgeschwindigkeit, mit einem Geleitwort von Professor Dr. Karl Sapper, Graz
KAMMERER, E. (1975): Kosmologie, Remshalden-Geradstetten
KANTOR, W. (1976): Relativistic Propagation of Light, Lawrence, Kansas, Coronado Press
KAUFMANN, W. (1902): Gött. Nachr. 1902, S. 143 ff
KAUFMANN, W. (1902): Gött. Nachr. 1902, S. 291 ff
KÖHLER, R. (1982): Die Äquivalenz von Materie und Energie, Philosophia Naturalis, Bd. 19, H. 3/4, S. 315 ff
NEDVED, R. (1978/1979): Classical Theory of Relativity, Separat iz biltena naucna misao br. 14/15, p. 1 - 36
PREIKSCHAT, F. K. (1976): A critical Look at the Theory of Relativity, Bellevue, WA 98009, P. O. Box 1442
RITZ, W. (1908): Kritische Untersuchungen zur allgemeinen Elektrodynamik, Übersetzung aus dem Französischen nebst einem Vorwort von Dr. Carl Dürr, Schweiz, Verlag Dürr, CH - 6574 Vira, 1. Auflg. 1982, 2. Auflg. 1991
THEIMER, W. (1977): Die Relativitätstheorie - Lehre, Wirkung, Kritik, Verlag Francke, Bern und München
WALDRON, R. A. (1977): The Wave and Ballistic Theories of Light - A Critical Review, Frederick Muller Ltd, London